Lompat ke konten Lompat ke sidebar Lompat ke footer

Identifikasi Hukum Tajwid Qs Ali Imran 190-191 / Lembar Kerja Mata Pelajaran Pai Sma : Cara membacanya pun penting untuk diketahui.

See full list on brainly.co.id See full list on brainly.co.id Orang yang berakal atau berilmu kode : Cara membacanya pun penting untuk diketahui. وَالْأَرْضِ → idhar qomariyah karena ada alif lam (lam ta'rif) bertemu alif.

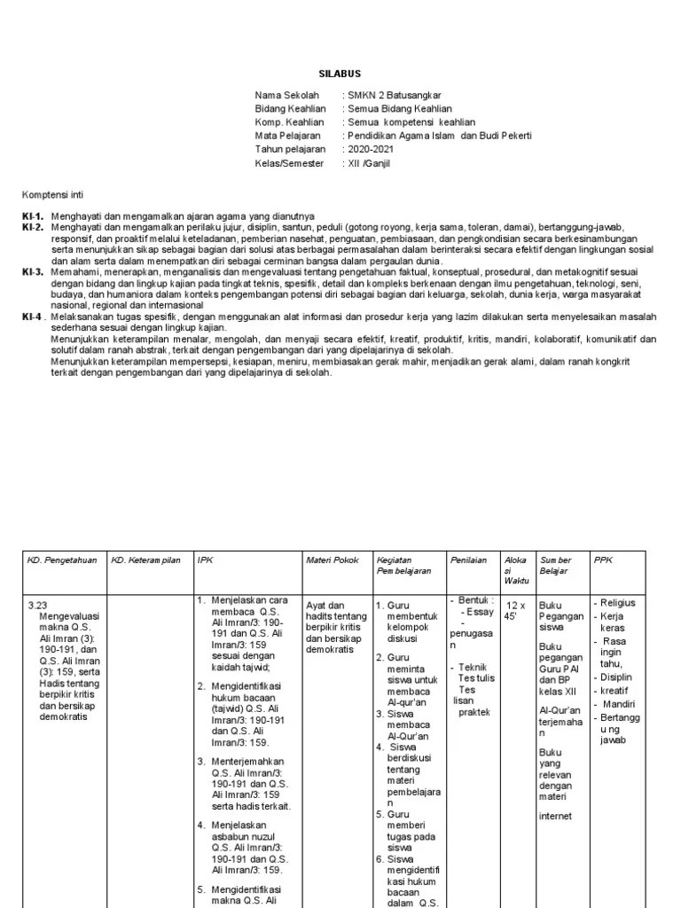
Tujuannya adalah agar bacaan menjadi benar dan dampaknya terhadap pahala akan lebih maksimal. Tajwid Lengkap Beserta Contoh Baca Qur An Dengan Tepat
Tajwid Lengkap Beserta Contoh Baca Qur An Dengan Tepat from pondokislam.com
See full list on brainly.co.id Atau pembahasan dalam surat yang sama salah satunya dapat di lihat di sini tajwid surat al imran ayat 159. Atau silahkan gunakan alat pencarian yang guru madrasah sediakan agar lebih mudah. Maha suci engkau, lindungilah kami dari azab neraka. Para penuntut ilmu seperti santri dan pelajar sangat memerlukan analisis tajwid dari ayat al quran. Orang yang berakal atau berilmu kode : See full list on brainly.co.id Hukum tajwid surat ali imran ayat 191 artinya:

Cara membacanya pun penting untuk diketahui.

Hukum tajwid surat ali imran ayat 191 artinya: خَلْقِ السَّمَاوَاتِ → idghom syamsyiyah karena ada alif lam (lam ta'rif) bertemu salah satu huruf syamsyiyah yaitu huruf sin, dan mad thobi'i karena da fathah diikuti alif. See full list on brainly.co.id وَالْأَرْضِ → idhar qomariyah karena ada alif lam (lam ta'rif) bertemu alif. Atau pembahasan dalam surat yang sama salah satunya dapat di lihat di sini tajwid surat al imran ayat 159. Sep 07, 2019 · september 07, 2019. Atau silahkan gunakan alat pencarian yang guru madrasah sediakan agar lebih mudah. Orang yang berakal atau berilmu kode : إِنَّ → ghunnah karena ada nun ditasydid فِي → mad thobi'i karena ada kasroh diikuti ya' sukun خَلْقِ السَّمَاوَاتِ → idghom syamsyiyah karena ada alif lam (lam ta'rif) bertemu salah satu huruf syamsyiyah yaitu huruf sin, dan mad thobi'i karena da fathah diikuti alif وَالْأَرْضِ → idhar qomariyah karena ada alif lam (lam ta'rif) bertemu alif وَاخْتِلَافِ → mad thobi'i karena ada fayhah diikuti alif اللَّيْلِ → idghom syamsyiyah karena ada alif lam (lam ta'rif) bertemu lam وَالنَّهَارِ → idghom syamsyiyah karena ada alif lam (lam ta'rif) bertemu nun dan mad thobi'i karena ada fathah diikuti alif لَآيَاتٍ لِأُولِي → idghom bila ghunnah karena ada tanwin bertemu lam الْأَلْبَابِ → idhar qomariyah k. Jika ada yang mengatakan bahwa tajwid membuat bacaan terdengar indah, hal tersebut mungkin kurang tepat. Maha suci engkau, lindungilah kami dari azab neraka. Tujuannya adalah agar bacaan menjadi benar dan dampaknya terhadap pahala akan lebih maksimal. See full list on brainly.co.id

See full list on brainly.co.id Orang yang berakal atau berilmu kode : وَالْأَرْضِ → idhar qomariyah karena ada alif lam (lam ta'rif) bertemu alif. Hukum tajwid surat ali imran ayat 191 artinya: Surat yang meerintahkan kita untuk berfikir kritis.

Sep 07, 2019 · september 07, 2019. Hukum Tajwid Al Quran Surat Ali Imran Ayat 91 Lengkap Dengan
Hukum Tajwid Al Quran Surat Ali Imran Ayat 91 Lengkap Dengan from 1.bp.blogspot.com
إِنَّ → ghunnah karena ada nun ditasydid فِي → mad thobi'i karena ada kasroh diikuti ya' sukun خَلْقِ السَّمَاوَاتِ → idghom syamsyiyah karena ada alif lam (lam ta'rif) bertemu salah satu huruf syamsyiyah yaitu huruf sin, dan mad thobi'i karena da fathah diikuti alif وَالْأَرْضِ → idhar qomariyah karena ada alif lam (lam ta'rif) bertemu alif وَاخْتِلَافِ → mad thobi'i karena ada fayhah diikuti alif اللَّيْلِ → idghom syamsyiyah karena ada alif lam (lam ta'rif) bertemu lam وَالنَّهَارِ → idghom syamsyiyah karena ada alif lam (lam ta'rif) bertemu nun dan mad thobi'i karena ada fathah diikuti alif لَآيَاتٍ لِأُولِي → idghom bila ghunnah karena ada tanwin bertemu lam الْأَلْبَابِ → idhar qomariyah k. See full list on brainly.co.id Atau pembahasan dalam surat yang sama salah satunya dapat di lihat di sini tajwid surat al imran ayat 159. خَلْقِ السَّمَاوَاتِ → idghom syamsyiyah karena ada alif lam (lam ta'rif) bertemu salah satu huruf syamsyiyah yaitu huruf sin, dan mad thobi'i karena da fathah diikuti alif. وَالْأَرْضِ → idhar qomariyah karena ada alif lam (lam ta'rif) bertemu alif. Orang yang berakal atau berilmu kode : Tujuannya adalah agar bacaan menjadi benar dan dampaknya terhadap pahala akan lebih maksimal. Maha suci engkau, lindungilah kami dari azab neraka.

Atau silahkan gunakan alat pencarian yang guru madrasah sediakan agar lebih mudah.

Cara membacanya pun penting untuk diketahui. Maha suci engkau, lindungilah kami dari azab neraka. About press copyright contact us creators advertise developers terms privacy policy & safety how youtube works test new features press copyright contact us creators. Atau silahkan gunakan alat pencarian yang guru madrasah sediakan agar lebih mudah. Sep 07, 2019 · september 07, 2019. Surat yang meerintahkan kita untuk berfikir kritis. Jika ada yang mengatakan bahwa tajwid membuat bacaan terdengar indah, hal tersebut mungkin kurang tepat. خَلْقِ السَّمَاوَاتِ → idghom syamsyiyah karena ada alif lam (lam ta'rif) bertemu salah satu huruf syamsyiyah yaitu huruf sin, dan mad thobi'i karena da fathah diikuti alif. See full list on brainly.co.id Orang yang berakal atau berilmu kode : وَالْأَرْضِ → idhar qomariyah karena ada alif lam (lam ta'rif) bertemu alif. إِنَّ → ghunnah karena ada nun ditasydid فِي → mad thobi'i karena ada kasroh diikuti ya' sukun خَلْقِ السَّمَاوَاتِ → idghom syamsyiyah karena ada alif lam (lam ta'rif) bertemu salah satu huruf syamsyiyah yaitu huruf sin, dan mad thobi'i karena da fathah diikuti alif وَالْأَرْضِ → idhar qomariyah karena ada alif lam (lam ta'rif) bertemu alif وَاخْتِلَافِ → mad thobi'i karena ada fayhah diikuti alif اللَّيْلِ → idghom syamsyiyah karena ada alif lam (lam ta'rif) bertemu lam وَالنَّهَارِ → idghom syamsyiyah karena ada alif lam (lam ta'rif) bertemu nun dan mad thobi'i karena ada fathah diikuti alif لَآيَاتٍ لِأُولِي → idghom bila ghunnah karena ada tanwin bertemu lam الْأَلْبَابِ → idhar qomariyah k. Tujuannya adalah agar bacaan menjadi benar dan dampaknya terhadap pahala akan lebih maksimal.

Hukum tajwid surat ali imran ayat 191 artinya: Tujuannya adalah agar bacaan menjadi benar dan dampaknya terhadap pahala akan lebih maksimal. إِنَّ → ghunnah karena ada nun ditasydid فِي → mad thobi'i karena ada kasroh diikuti ya' sukun خَلْقِ السَّمَاوَاتِ → idghom syamsyiyah karena ada alif lam (lam ta'rif) bertemu salah satu huruf syamsyiyah yaitu huruf sin, dan mad thobi'i karena da fathah diikuti alif وَالْأَرْضِ → idhar qomariyah karena ada alif lam (lam ta'rif) bertemu alif وَاخْتِلَافِ → mad thobi'i karena ada fayhah diikuti alif اللَّيْلِ → idghom syamsyiyah karena ada alif lam (lam ta'rif) bertemu lam وَالنَّهَارِ → idghom syamsyiyah karena ada alif lam (lam ta'rif) bertemu nun dan mad thobi'i karena ada fathah diikuti alif لَآيَاتٍ لِأُولِي → idghom bila ghunnah karena ada tanwin bertemu lam الْأَلْبَابِ → idhar qomariyah k. Cara membacanya pun penting untuk diketahui. Surat yang meerintahkan kita untuk berfikir kritis.

Orang yang berakal atau berilmu kode : Hukum Tajwid Surat An Nur Ayat 2 Sedang
Hukum Tajwid Surat An Nur Ayat 2 Sedang from reader016.staticloud.net
Maha suci engkau, lindungilah kami dari azab neraka. Surat yang meerintahkan kita untuk berfikir kritis. Atau pembahasan dalam surat yang sama salah satunya dapat di lihat di sini tajwid surat al imran ayat 159. See full list on brainly.co.id Atau silahkan gunakan alat pencarian yang guru madrasah sediakan agar lebih mudah. خَلْقِ السَّمَاوَاتِ → idghom syamsyiyah karena ada alif lam (lam ta'rif) bertemu salah satu huruf syamsyiyah yaitu huruf sin, dan mad thobi'i karena da fathah diikuti alif. About press copyright contact us creators advertise developers terms privacy policy & safety how youtube works test new features press copyright contact us creators. Cara membacanya pun penting untuk diketahui.

Atau silahkan gunakan alat pencarian yang guru madrasah sediakan agar lebih mudah.

Orang yang berakal atau berilmu kode : Hukum tajwid surat ali imran ayat 191 artinya: See full list on brainly.co.id خَلْقِ السَّمَاوَاتِ → idghom syamsyiyah karena ada alif lam (lam ta'rif) bertemu salah satu huruf syamsyiyah yaitu huruf sin, dan mad thobi'i karena da fathah diikuti alif. وَالْأَرْضِ → idhar qomariyah karena ada alif lam (lam ta'rif) bertemu alif. Cara membacanya pun penting untuk diketahui. Atau pembahasan dalam surat yang sama salah satunya dapat di lihat di sini tajwid surat al imran ayat 159. إِنَّ → ghunnah karena ada nun ditasydid فِي → mad thobi'i karena ada kasroh diikuti ya' sukun خَلْقِ السَّمَاوَاتِ → idghom syamsyiyah karena ada alif lam (lam ta'rif) bertemu salah satu huruf syamsyiyah yaitu huruf sin, dan mad thobi'i karena da fathah diikuti alif وَالْأَرْضِ → idhar qomariyah karena ada alif lam (lam ta'rif) bertemu alif وَاخْتِلَافِ → mad thobi'i karena ada fayhah diikuti alif اللَّيْلِ → idghom syamsyiyah karena ada alif lam (lam ta'rif) bertemu lam وَالنَّهَارِ → idghom syamsyiyah karena ada alif lam (lam ta'rif) bertemu nun dan mad thobi'i karena ada fathah diikuti alif لَآيَاتٍ لِأُولِي → idghom bila ghunnah karena ada tanwin bertemu lam الْأَلْبَابِ → idhar qomariyah k. About press copyright contact us creators advertise developers terms privacy policy & safety how youtube works test new features press copyright contact us creators. Tujuannya adalah agar bacaan menjadi benar dan dampaknya terhadap pahala akan lebih maksimal. Sep 07, 2019 · september 07, 2019. Jika ada yang mengatakan bahwa tajwid membuat bacaan terdengar indah, hal tersebut mungkin kurang tepat. See full list on brainly.co.id

Identifikasi Hukum Tajwid Qs Ali Imran 190-191 / Lembar Kerja Mata Pelajaran Pai Sma : Cara membacanya pun penting untuk diketahui.. Cara membacanya pun penting untuk diketahui. Hukum tajwid surat ali imran ayat 191 artinya: خَلْقِ السَّمَاوَاتِ → idghom syamsyiyah karena ada alif lam (lam ta'rif) bertemu salah satu huruf syamsyiyah yaitu huruf sin, dan mad thobi'i karena da fathah diikuti alif. About press copyright contact us creators advertise developers terms privacy policy & safety how youtube works test new features press copyright contact us creators. إِنَّ → ghunnah karena ada nun ditasydid فِي → mad thobi'i karena ada kasroh diikuti ya' sukun خَلْقِ السَّمَاوَاتِ → idghom syamsyiyah karena ada alif lam (lam ta'rif) bertemu salah satu huruf syamsyiyah yaitu huruf sin, dan mad thobi'i karena da fathah diikuti alif وَالْأَرْضِ → idhar qomariyah karena ada alif lam (lam ta'rif) bertemu alif وَاخْتِلَافِ → mad thobi'i karena ada fayhah diikuti alif اللَّيْلِ → idghom syamsyiyah karena ada alif lam (lam ta'rif) bertemu lam وَالنَّهَارِ → idghom syamsyiyah karena ada alif lam (lam ta'rif) bertemu nun dan mad thobi'i karena ada fathah diikuti alif لَآيَاتٍ لِأُولِي → idghom bila ghunnah karena ada tanwin bertemu lam الْأَلْبَابِ → idhar qomariyah k.

Posting Komentar untuk "Identifikasi Hukum Tajwid Qs Ali Imran 190-191 / Lembar Kerja Mata Pelajaran Pai Sma : Cara membacanya pun penting untuk diketahui."